2022年9月22日,中国医学科学院药物研究所“天然药物活性物质与功能”国家重点实验室王琰研究员、蒋建东院士,与协和医院孙劲旅教授等在国际著名期刊Engineering(工程)在线发表了“Multi-Omics Analysis Provides Insight into the Possible Molecular Mechanism of Hay Fever Based on Gut Microbiota”(基于肠道菌的多组学分析揭示了花粉过敏可能的分子机制)论文,首次采用多组学技术阐明了肠道菌可能介导花粉过敏的分子机制。
花粉过敏性疾病又名花粉症、枯草热,是一种过敏反应性疾病,过敏原是花粉。临床上通常将花粉诱发的过敏性鼻炎、过敏性结膜炎、过敏性咳嗽/哮喘及皮肤过敏统称为花粉症。其中,花粉过敏性鼻炎是指由于花粉而引起的一种鼻腔里过敏性炎症,主要影响上呼吸系统。迄今为止,源自草和树木的150多个花粉过敏原已在全球范围内得到确认。在中国,尤其是在北部,蒿属植物(Artemisia)和葎草属植物(Humulus)的花粉是引起秋季花粉过敏的关键因素。关于花粉过敏病理学的主流学说主要集中于免疫系统失衡。TH2A是首先被发现与过敏性疾病发病机制有关的特异性细胞,但目前还没有一个全面的理论可以解释花粉过敏的病理过程。
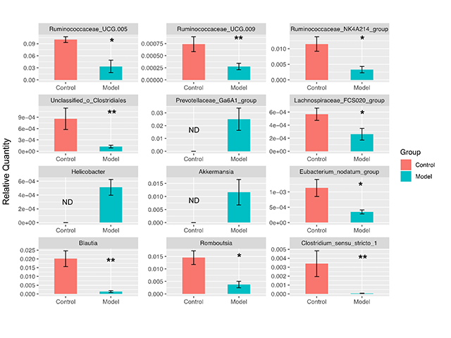
在这项研究中,作者从肠道菌入手,采用非靶向代谢组学结合微生物组学方法,寻找发生花粉过敏可能的分子机制。研究发现,当给予SD大鼠注射青蒿花粉提取物诱导其对花粉过敏时,模型组中的大鼠在激发期结束时显示出IgE水平显著增加,证明花粉过敏模型建立成功。过敏组大鼠血中缬氨酸、异亮氨酸、天冬氨酸、谷氨酸、谷氨酰胺、丙酸吲哚(IPA)和肌醇含量显著降低,而粪便中短链脂肪酸(SCFAs)减少。其中,支链氨基酸(BCAAs) 缬氨酸和异亮氨酸水平降低原因,可能由于花粉致敏引起的肠道微生物群发生蛋白质代谢异常。而BCAAs的缺乏,特别是异亮氨酸的缺乏,可能导致免疫功能受损和病原体敏感性增加。与BCAAs类似, IPA也是肠道菌代谢发生异常的结果,而IPA减少与瘤胃球菌科、毛螺菌科等肠道菌丰度降低呈显著正相关,提示了这些肠道菌丰度降低将导致血中IPA减少。而IPA已被证明是通过激活PXR来调节小鼠的肠屏障功能,进而上调紧密连接蛋白的表达(如claudins 和occludins)。这可能部分解释了过敏组大鼠肠道claudin-3表达被抑制的机理。发生过敏反应的大鼠肠道菌SCFAs(如丁酸等)减少,也导致肠上皮细胞能量供给受到影响。由于SCFAs是肠道免疫反应和上皮保护功能的关键介质,可刺激肠内紧密连接蛋白的表达,并增加粘蛋白和改善肠形态。因此,大鼠肠道菌SCFAs(如丁酸等)水平降低可能也是其容易导致花粉过敏反应的原因之一。此外,过敏组大鼠肠道产生SCFAs细菌(如瘤胃球菌科、毛螺菌科以及梭菌属)显著减少,这解释了粪便中小分子SCFAs(如丁酸等)水平降低的原因;同时,幽门螺杆菌丰度增加,而幽门螺杆菌与claudin-3水平呈显著的负相关,可能抑制了肠内紧密连接蛋白的表达。阿克曼氏菌在过敏大鼠肠道中也表达,提示其可能通过降解粘液层并使上皮易于接触过敏原而导致上皮完整性丧失,从而使肠上皮防御功能障碍,最终使宿主易发生花粉过敏性疾病。
本研究表明,肠道菌产生的小分子代谢物BCAAs/IPA/SCFAs和特征菌Helicobacter pylori /Akkermansia muciniphila可能通过抑制Claudin蛋白表达和影响粘液层而破坏肠道屏障功能,使免疫功能受损和病原体敏感性增加,进而导致花粉过敏。这些发现不仅为微生物在花粉过敏发生过程中的作用提供了重要信息,而且提示逆转肠道渗漏可能是预防和干预花粉过敏的有效策略。

图1过敏模型组肠道菌单变量分析

图2肠道菌介导花粉过敏可能的分子机制
中国医学科学院医学与健康科技创新工程(2016-I2M-3-011 和 2016-I2M-1-003),NSFC(No. 81971515和 81973290)和“创新药物非临床药物代谢及PK-PD研究”北京市重点实验室(Z141102004414062)等项目资助了该研究。药物所韩珮,协和医院李丽莎、王子熹,北京同仁医院锡琳为本文共同第一作者;药物所蒋建东、王琰,协和医院孙劲旅,北京同仁医院王向东为本文共同通讯作者。
原文链接: https://www.sciencedirect.com/science/article/pii/S2095809921001910
